An improbable chain
28th February 2011 – 5.34 pmI'm going to tidy up this system. At some point I'll warp around and activate the gravimetric and ladar sites, so that they'll disappear within a few days and leave me an easier task of exploratory scanning, but I ought to get Fin's agreement before I do. For now, I simply find our static wormhole amongst the noise and jump through to our neighbouring class 3 w-space system. My directional scanner is clear, an off-line tower not really causing me any concern, although one planet is out of range of d-scan. I launch probes and blanket the system, finding nine anomalies and twenty-five signatures, but no ships, and warping to the distant planet shows no occupation.
Glorious leader Fin arrives and, after some planet goo configuration, joins me to scan the C3. I handily left a bookmark to our static wormhole in our shared can, sparing Fin the hassle of finding it herself, and she agrees with the idea of reducing clutter at home. Super, I can get on that tomorrow, as we can find something else productive to do today. We decide to scan for an exit, as we have fuel to buy and loot to sell, and start scanning our way out of w-space, concentrating only on finding the wormhole here. I sift through the many signatures to find a wormhole, although it turns out not to be an exit to k-space but a random outbound T405 connection to class 4 w-space. More exploration and unexpected opportunity to hunt is good!
A second wormhole in the C3 comes quickly, this one turning out to be the static exit, but the null-sec connection is not much use for buying fuel. A system crash of my Buzzard covert operations boat discourages me from scanning here further, as switching the systems off and on again, whilst necessary, causes all of the ignored signatures to be reset. Rather than scan everything again I instead jump through the outbound connection to the class 4 system. D-scan is clear in the C4, my probes revealing no anomalies or ships and only three signatures. Warping around finds a tower on an outer planet, where there are obviously no pilots given the lack of ships in the system. The three signatures turn out to be a ladar site, the K162 back to the C3, and the system's static connection to another C3. I jump onwards.
I've been in this class 3 system before, the last time only three weeks ago. I'm confident the tower will be where I didn't destroy it, and the static exit leads out to low-sec empire space. Although there are twenty-three anomalies here the mere nine signatures should make finding the exit easy enough. Once a lack of activity is confirmed I start scanning, looking only for the wormhole and a good exit which we can bring fuel through. I find the wormhole quickly, but it turns out to not to be the wormhole but a wormhole, a K162 from C4 w-space. I persevere to find the exit to low-sec, but being spat out to the Sinq Laison region and too many jumps from anywhere makes me return to w-space and jump in to the next C4 along my route.
I think I've come home by mistake. I'm in a class 4 w-space system with a pulsar phenomenon and a static connection to a C3. Maybe I've got myself turned around, or just headed in a big circle, I'm not sure. I double-check my bookmarks to realise that it is indeed a simple coincidence and I am still heading forwards. Even so, the system looks familiar, with its curious configuration of planets, and my notes show that I was here four months ago. The C4 remains unoccupied, which means there is likely another wormhole to find here, apart from the static connection, which should be a K162 that leads to an occupied system. Ten anomalies and four signatures keeps scanning easy, and indeed there is another wormhole to find. At least it shouldn't connect from another C3 system, as all class 3 systems lead to k-space.
Naturally, the K162 I drop out of warp in front of comes from C3 space. Jumping through reveals the wormhole to be another random T405 connection and that I have another wormhole to find here. As I am scribbling notes a Cheetah cov-ops boat appears on d-scan, which when narrowing d-scan's beam looks to be at the local tower. My probes find only four signatures in the system and, as two of them are wormholes, unless the Cheetah pilot swaps to a mining ship there is probably not much to do here. I scan quickly, hopefully whilst the local pilot gets his bearings, resolving a radar and ladar site, and the static exit that leads out to low-sec empire space. Done. And that's the end of today's improbable w-space constellation.

The Cheetah remains inactive in the tower as I get the exit from this C3, ending up in the Khanid region and, again, many hops from anywhere. I return to w-space once more to now see a simple Probe frigate on d-scan. I head homewards, intending to share with Fin the fifteen wormhole bookmarks I've accumulated and to decide what to do next. We could shoot Sleepers, but I'm keen to see what the Probe pilot will get up to. I swap to a Manticore stealth bomber and head along the chain of systems to the final class 3 system, only to warp to the tower and find out that the pilot has been a capsuleer for less than a day. I doubt she's going to wander out of the tower at all for now, making my trip rather pointless. And all the scanning has eaten in to the evening, leaving little motivation for what can only be a short engagement with Sleepers. I go back to the home system and settle down for the night. So many systems, so little activity.

3 Responses to “An improbable chain”
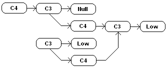
The image in the post may show the improbable chain linearly, but it insults my sense of functionality. This alternative image of the w-space connections doesn't show the chain as clearly but is functionally much more pleasing:
Nice image -- what are you using to draw out the connections?
Thanks. It's just Paint. My artistic skills are essentially non-existent, but I can draw a mean schematic.